中文
English

港大新研究:义齿粘合剂或可改善可摘局部义齿咀嚼功能,金属基义齿获益更明显

好的牙编辑部
2026-03-18
图源:《义齿粘合剂对可拆卸部分义齿佩戴者咀嚼功能的客观评估》
图源:《义齿粘合剂对可拆卸部分义齿佩戴者咀嚼功能的客观评估》

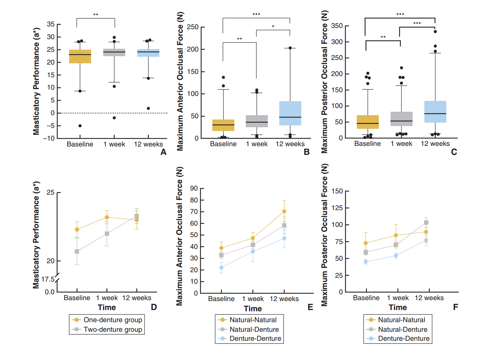
好的牙·讯|近日,香港大学牙医学院发表于《义齿学杂志》(Journal of Prosthetic Dentistry)的一项临床研究显示,义齿粘合剂(DA)或可有效改善广泛缺牙老年患者可摘局部义齿(RPD)的固位力与咀嚼功能,固位满意率从基线46.2%升至98.4%,稳定率从27.8%升至90.2%。

该研究由香港大学牙医学院研究团队主导,该研究团队于2021年3月至2022年7月间,在一所牙科医院招募了105名广泛缺牙老年患者,最终纳入83名完成了全程评估。

研究将“广泛性RPD”定义为:替换单侧或双侧弓形全部前磨牙和磨牙的义齿,或所在弓形天然牙仅余六颗及以下的义齿。参与者每日使用乳膏型DA,分别在基线、使用1周及12周后接受最大咬合力(MOF)与咀嚼性能(MP)评估。

DA使用1周后,最大咬合力与咀嚼性能均有较为明显改善(P<.001),但12周随访时未见进一步提升。研究热图分析显示,逾半数参与者的咀嚼性能有所改善,基线咀嚼功能较差者改善更为突出;但约四分之一基线表现良好的参与者,使用da后咀嚼性能反而下降。亚组分析发现,金属基rpd佩戴者及同时使用上下弓两副义齿的患者获益更为明显,义齿完整性(p=0.037)、材料类型(p=0.003)及满意度(p=0.032)均与咀嚼性能变化相关。<>

需要注意的是,该研究为单臂临床试验,缺乏对照组;约五分之一参与者的义齿存在完整性问题,与通常仅纳入无明显问题义齿的其他研究有所差异,结论的普遍性有待多中心随机对照试验进一步验证。研究人员表示,针对义齿适配良好的广泛性RPD佩戴者及单副义齿佩戴者,DA的效果尚需深入研究。



下一篇:这是最后一篇
上一篇:这是第一篇
快讯尾图广告(固定)-副本1
ABUIABACGAAgrOTSxAYo59uBjQcwsAk4ygI
插件代码
✉️
订阅我们的资讯
我们精心整理重要新闻与独家洞察,第一时间直达您的收件箱。
独家资讯、独家数据、独家故事
会员解锁·更多产业深度内容
1  /  30
自由容器
广告图
ABUIABACGAAg6qGpxwYouMDB-QMwsAk4rAI
去往PC端
更大视野·更多细节,点此去往PC端 >>
自由容器
插件代码
【好的牙】内容基于公开资料与专业判断,供行业参考,不构成决策建议,读者需自行判断与承担风险; 版权归属本平台,未经授权不得转载或商用。 🧾 如需勘误 / 投稿 / 合作,请联系客服微信:HDSW_001
一日广告弹窗
4
2026华南国际口腔展